English
全部
搜索
图片
视频
短视频
地图
资讯
更多
购物
航班
旅游
笔记本
报告不当内容
请选择下列任一选项。
无关
低俗内容
成人
儿童性侵犯
时长
全部
短(小于 5 分钟)
中(5-20 分钟)
长(大于 20 分钟)
日期
全部
过去 24 小时
过去一周
过去一个月
去年
清晰度
全部
低于 360p
360p 或更高
480p 或更高
720p 或更高
1080p 或更高
源
全部
Dailymotion
Vimeo
Metacafe
Hulu
VEVO
Myspace
MTV
CBS
Fox
CNN
MSN
价格
全部
免费
付费
清除筛选条件
安全搜索:
中等
严格
中等(默认)
关闭
筛选器
askfilo.com
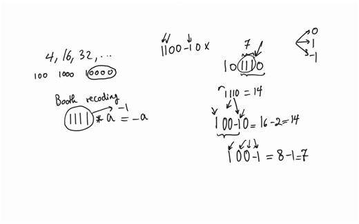
Radix-4 Booth's recodingShow that radix-4 Booth's recoding is e... | Filo
Radix-4 Booth's recodingShow that radix-4 Booth's recoding is e... | Filo
9 个月之前
Booth Algorithm Explained
Definition of Facebook algorithm
pcmag.com
2022年7月20日
4:21
Algorithm in Mathematics | Definition & Examples
Study.com
Peter Kosek
已浏览 2.9万 次
2018年11月14日
18:21
Booth algorithm with numerical with easy steps 👆 @hacknexplain
YouTube
hacknexplain
已浏览 86 次
1 个月前
热门视频
Behind the scenes of Booth’s Algorithm
medium.com
6 个月之前
Version 1.1 - recording solution videos and a tutorial
itch.io
2 个月之前
Booth's Algorithm with example | CAO | COA | Booth's Algorithm for multiplication
YouTube
Techno Tutorials ( e-Learning
已浏览 4.2万 次
2023年1月6日
Booth Algorithm Examples
Portalgraph Runtime - Portalgraph - BOOTH
booth.pm
2024年11月12日
エフェクト習作 詰め合わせパック1 - 八百屋 - BOOTH
booth.pm
2024年9月1日
【無料版有】ぶちストア製ポーズ集第一弾 - ぶちストア - BOOTH
booth.pm
2023年11月8日
Behind the scenes of Booth’s Algorithm
6 个月之前
medium.com
Version 1.1 - recording solution videos and a tutorial
2 个月之前
itch.io
Booth's Algorithm with example | CAO | COA | Booth's Algorithm fo
…
已浏览 4.2万 次
2023年1月6日
YouTube
Techno Tutorials ( e-Learning)
Booth Multiplier Recoding | Signed Numbers Multiplication | Arithmeti
…
已浏览 590 次
2022年9月10日
YouTube
Menlo Tutorials
4Gn7E80duhfPxRhHXvj5eQ
6 个月之前
autodesk.com
0:10
Booth's Algorithm Topic..
已浏览 6.2万 次
10 个月之前
YouTube
Study with me..
12:00
1.13. Booth recoding
已浏览 76 次
2023年7月31日
bilibili
imrab
19:36
booth乘法原理以及累加运算的优化
已浏览 657 次
4 个月之前
bilibili
桃华ww
4:39
L1.40: Booths Algorithm radix-4
已浏览 2300 次
2022年3月21日
YouTube
Success GATEway
10:49
Booth’s Algorithm for Signed Multiplication
已浏览 2382 次
2022年1月3日
YouTube
Chinmaye Ramamurthy
55:49
Booth's Algorithm - Computer Architecture (CSE-211)
已浏览 792 次
2023年5月6日
YouTube
StudyHelp CSE
26:19
Modified Booth Algorithm
已浏览 8.6万 次
2017年7月24日
YouTube
GATEBOOK VIDEO LECTURES
11:23
Booth's Restoring Division
已浏览 3.2万 次
2018年11月10日
YouTube
Sonali deo
17:27
COMPUTER ORGANIZATION | Part-18 | Booth Multiplication Algorithm
已浏览 7.1万 次
2020年4月14日
YouTube
Engineering Drive
7:45
Booth's Algorithm | Multiplication ( Binary Arithmetic ) - Part 3
已浏览 52.6万 次
2017年5月4日
YouTube
Semesters Simplified
17:57
Booth's Multiplication Algorithm With Example
已浏览 3.4万 次
2020年12月5日
YouTube
Engineers Stop
10:07
Unit 7 - Booth Multiplication Algorithm
已浏览 1.9万 次
2020年4月4日
YouTube
Darshan University
10:25
HOW TO: Booth's Algorithm (4×7 example)
已浏览 11万 次
2015年10月26日
YouTube
Steven Petryk
5:38
Booth's Algorithm for Recoded Multiplier | COA
已浏览 3.9万 次
2018年2月12日
YouTube
Always Learn More
18:54
Bit Pair Recoding for multiplication
已浏览 12.7万 次
2019年3月8日
YouTube
Saranya Suresh
7:29
Booth's Algorithm With Example | booths | booths algo
已浏览 109.8万 次
2018年2月12日
YouTube
Always Learn More
14:32
Booth's Algorithm for Signed Multiplication
已浏览 74.5万 次
2018年3月30日
YouTube
TutorialsPoint
10:59
1. Modified Booth Algorithm | modified booth algorithm
已浏览 10.1万 次
2018年2月20日
YouTube
Always Learn More
11:00
Multiplication | Part-3 | Binary Numbers | Booth's Algorithm |CAHM
已浏览 2.7万 次
2021年2月1日
YouTube
Anjali Study Point
14:18
【FPGA基础知识】booth算法:Verilog乘法原理与Booth算法优化
已浏览 9087 次
2022年5月16日
bilibili
cxlisme
6:31
Booth's Algorithm with Example | COA | booths | booths algo
已浏览 24.7万 次
2018年2月12日
YouTube
Always Learn More
10:47
【计算机组成原理】期末复习-补码乘法booth算法(一位乘法和二位乘法)
已浏览 4094 次
2024年12月16日
bilibili
幼儿园扛把子L
7:56
3. Modified Booth's Algorithm with Example | modified booth algorithm
已浏览 18.6万 次
2018年2月20日
YouTube
Always Learn More
7:55
Booth's Algorithm (Hardware Implementation and Flowchart) | C
…
已浏览 5.8万 次
2018年2月12日
YouTube
Always Learn More
观看更多视频
更多类似内容
反馈