English
全部
搜索
图片
视频
短视频
地图
资讯
更多
购物
航班
旅游
笔记本
报告不当内容
请选择下列任一选项。
无关
低俗内容
成人
儿童性侵犯
时长
全部
短(小于 5 分钟)
中(5-20 分钟)
长(大于 20 分钟)
日期
全部
过去 24 小时
过去一周
过去一个月
去年
清晰度
全部
低于 360p
360p 或更高
480p 或更高
720p 或更高
1080p 或更高
源
全部
Dailymotion
Vimeo
Metacafe
Hulu
VEVO
Myspace
MTV
CBS
Fox
CNN
MSN
价格
全部
免费
付费
清除筛选条件
安全搜索:
中等
严格
中等(默认)
关闭
筛选器
Practice Effect & Carry Over Effect Definition & Examples
2015年7月24日
statisticshowto.com
Worked Examples | Teaching + Learning Lab
2023年4月6日
mit.edu
4:33
Matthew Effect | Definition & Application
已浏览 7700 次
2016年12月23日
Study.com
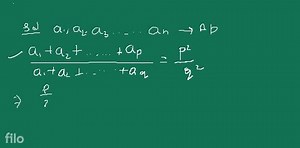
SEQUENCE AND SERIES W. E-4: Let a_{1}, a_{2}, \ldots ., a_{n} b... | Filo
已浏览 5836 次
2023年7月20日
askfilo.com
A chard of a circle is equal to the radius of the circle. Find ... | Filo
已浏览 5301 次
2022年11月30日
askfilo.com
Find the equation of the circle passing through the point (-1,3... |
…
已浏览 5917 次
2022年12月23日
askfilo.com
Given the linear equation is 3 x+4 y=11, write linear equations... | Filo
已浏览 6088 次
2022年12月25日
askfilo.com
\leftarrow Conic sections: Unit test A circle has a radius of \... | Filo
已浏览 5716 次
2023年4月1日
askfilo.com
Worksheet?Find the area of a trapezium whose parallel sides ar.
…
已浏览 5310 次
2023年1月8日
askfilo.com
After Effects Expressions with Math Operators
已浏览 2651 次
2022年3月12日
YouTube
Al Lemieux
7-find-a-vector-of-magnitude-6-which-is-perpendicular-to-3232303
…
已浏览 5259 次
2022年10月1日
askfilo.com
watch?v=jU190K7UHFI
已浏览 3778 次
2024年7月29日
YouTube
Mathematics Untold
0:27
Family Guy - Oh No She Didn't!
已浏览 14.1万 次
2011年5月16日
YouTube
DKGrucz
8:12
Design Drainage System
已浏览 3.4万 次
2018年6月4日
YouTube
Teh YanTing
1:58
Multiplier Effect
已浏览 5万 次
2016年5月7日
YouTube
EconplusDal
3:05
Photoelectric Effect Demonstration
已浏览 50.4万 次
2015年3月16日
YouTube
National STEM Centre
8:21
Truth Tables Example
已浏览 2.1万 次
2020年10月9日
YouTube
LearnYouSomeMath
8:09
Music + Math: Symmetry
已浏览 40.1万 次
2014年2月28日
YouTube
Santa Fe Institute
25:15
Episode 1: Similarity - Project MATHEMATICS!
已浏览 18.2万 次
2017年3月3日
YouTube
caltech
19:54
Hall Effect - What's THAT All About? | Doc Physics
已浏览 7.1万 次
2017年8月28日
YouTube
Doc Schuster
3:52
Exponential Function grade 10: #1
已浏览 23.7万 次
2021年4月22日
YouTube
Kevinmathscience
11:31
Factorial Designs: Main Effects & Interactions
已浏览 7.4万 次
2019年11月13日
YouTube
S. Wesley Beckwith
1:01
Affect vs Effect - English In A Minute
已浏览 16.3万 次
2018年12月17日
YouTube
BBC Learning English
6:37
Geometric Progressions - Corbettmaths
已浏览 8.8万 次
2019年4月24日
YouTube
corbettmaths
6:09
Writing Empirical Formula Practice Problems
已浏览 50.5万 次
2014年6月25日
YouTube
Tyler DeWitt
9:39
Photoelectric Effect - A-level Physics
已浏览 47.8万 次
2017年2月20日
YouTube
Science Shorts
5:19
Moment generating functions -- Example 1
已浏览 25万 次
2016年1月19日
YouTube
Lawrence Leemis
3:48
Doppler Effect grade 12: Introduction
已浏览 36.4万 次
2021年5月18日
YouTube
Kevinmathscience
14:41
Algebraic Expressions – Algebra Basics
已浏览 130.9万 次
2019年2月28日
YouTube
TabletClass Math
11:03
What is Mathematical Modeling?
已浏览 5.9万 次
2020年8月18日
YouTube
Brenda Edmonds
观看更多视频
更多类似内容
反馈